9 年
手机商铺
公司新闻/正文
274 人阅读发布时间:2026-02-06 11:11

这句话是不是戳中了不少年轻女性的焦虑?卵巢早衰(POF),也叫早发性卵巢功能不全(POI),正悄悄逼近越来越多的年轻群体 [1]。它不只是意味着生育能力提前 “下线”,还会带来潮热盗汗、情绪波动、骨质疏松等一系列健康困扰,严重影响生活质量。
人类卵巢的奥秘难以直接窥探,这时,一群特殊的 “小鼠演员” 登上了科学舞台,用自己的身体为人类生殖健康研究铺路。
针对卵巢早衰的不同 “发病套路”,科研人员为小鼠量身定制了 4 套造模方案,适配各类研究需求:
🔬 化学诱导:快速get“化疗后同款”卵巢
不用反复 “扎针”,还能避开联合用药的副作用干扰,超适合卵巢保护药物初筛,就连mTOR抑制剂、NMN等生育保护策略,都是靠这类化疗造模小鼠验证有效性的 [3-4]~



⏳ 自然衰老:靠 “熬工龄” 还原衰老真相
优点是超贴近人类生理规律,但缺点也很实在:周期长、个体差异大,适合长期研究衰老机制的 “慢工出细活” 项目。

不过这项技术门槛高、周期长,一般用来深挖疾病机制,属于 “高端玩家” 的研究工具。


需要注意的是,半乳糖可能 “误伤” 肝脏引发代谢紊乱,实验中得同步监测肝脏状态,避免干扰研究结果。


笔尖划过的每一道题,都是通往梦想的阶梯。熬过的每一个深夜,从盛夏到寒冬,从清晨到深夜,你的坚持从不是孤军奋战,这场考试,只管全力以赴!
抗缪勒管激素(AMH)、雌二醇(E2)“断崖式下跌”,促卵泡激素(FSH)逆势 “飙升”——CTX 单次造模后,激素水平显著紊乱,和临床 POI 患者激素特征高度匹配,而且这种紊乱还能通过靶向治疗逆转 [9];

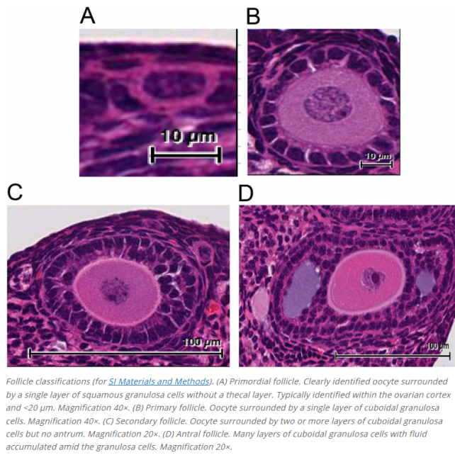
H&E 染色下,卵泡数量锐减、闭锁卵泡增多,卵巢组织间质增生、纤维化明显 [3、9],其中 CTX 造模小鼠原始卵泡数量比对照组减少 64%,卵巢萎缩特征特别突出 [3];


通过阴道涂片监测发现,小鼠动情周期紊乱,这妥妥对应了人类的月经异常。
这些小鼠模型可不是 “花瓶”,而是生殖健康研究的 “核心战力”,推动了超多科研突破:
● 药物研发中,它们是 “首席试药官”,帮着验证 mTOR 抑制剂、NMN 等药物的卵巢保护机制 [4、10];
● 机制探索中,它们是 “金牌解密手”,助力明确肠道菌群 - 卵巢轴、凋亡通路与化疗性卵巢损伤的关联 [10];
● 生育力保护中,它们是 “专属试验台”,为冷冻卵巢移植、干细胞治疗等策略提供临床依据 [11]!
💡 灵赋拓普公司已熟练掌握多种造模方法,可根据科研需求定制专属模型,为相关研究提供高效助力~
● 实验动物:SD大鼠/C57小鼠,雌性,7-8周龄
● 造模方法:经适应性饲养】纳入实验(常规小鼠动情周期约4-5天/个周期)。腹腔注射环磷酰胺1次后,每天通过阴道脱落细胞涂片检测,若出现不规则动情周期(如持续10天表现为持续动情间期、无动情前期、无动情期),则造模成功
● 后续实验:病理检测、分子检测、测序检测相关
● 研究方向:生育能力检测、多囊卵巢综合症、骨质疏松症

这些小小的小鼠,用自己的 “身体” 搭建起人类与卵巢早衰抗争的桥梁。每一次实验、每一个数据,都在为破解疾病奥秘积蓄力量。未来某天,当我们找到治愈卵巢早衰的方法时,可别忘了这群默默奉献的鼠界 “科研打工人” 呀~
[1] Xiong Y, Si Y, Quan R, Huo X, Chen J, Xu J, Jiang Z, Xu F, Liu R, Fu Q. hUMSCs restore ovarian function in POI mice by regulating GSK3β-mediated mitochondrial dynamic imbalances in theca cells. Sci Rep. 2024 Aug 16;14(1):19008. doi: 10.1038/s41598-024-69381-9. PMID: 39152165; PMCID: PMC11329706.
[2] Gong L L, Wang X X, Feng X W, et al. A Mouse Model and Mechanism Study of Premature Ovarian Insufficiency Induced by Different Concentrations of Cyclophosphamide[J]. Laboratory Animal and Comparative Medicine, 2025, 45(4): 403-410.
[3] Goldman KN, Chenette D, Arju R, Duncan FE, Keefe DL, Grifo JA, Schneider RJ. mTORC1/2 inhibition preserves ovarian function and fertility during genotoxic chemotherapy. Proc Natl Acad Sci U S A. 2017 Mar 21;114(12):3186-3191. doi: 10.1073/pnas.1617233114. Epub 2017 Mar 7. PMID: 28270607; PMCID: PMC5373380.
[4] Ma Y, Nong W, Zhong O, Liu K, Lei S, Wang C, Chen X, Lei X. Nicotinamide mononucleotide improves the ovarian reserve of POI by inhibiting NLRP3-mediated pyroptosis of ovarian granulosa cells. J Ovarian Res. 2024 Nov 26;17(1):236. doi: 10.1186/s13048-024-01534-w. PMID: 39593096; PMCID: PMC11590476.
[5] Gosden RG, Laing SC, Felicio LS, Nelson JF, Finch CE. Imminent oocyte exhaustion and reduced follicular recruitment mark the transition to acyclicity in aging C57BL/6J mice. Biol Reprod. 1983 Mar;28(2):255-60. doi: 10.1095/biolreprod28.2.255. PMID: 6838945.
[6] Castrillon DH, Miao L, Kollipara R, Horner JW, DePinho RA. Suppression of ovarian follicle activation in mice by the transcription factor Foxo3a. Science. 2003 Jul 11;301(5630):215-8. doi: 10.1126/science.1086336. PMID: 12855809.
[7] Rostami Dovom M, Noroozzadeh M, Mosaffa N, Piryaei A, Zadeh-Vakili A, Aabdollahifar MA, Rahmati M, Farhadi-Azar M, Ramezani Tehrani F. Maternal Exposure to D-galactose Reduces Ovarian Reserve in Female Rat Offspring Later in Life. Int J Endocrinol Metab. 2022 May 30;20(2):e123206. doi: 10.5812/ijem-123206. PMID: 35993036; PMCID: PMC9383541.
[8] Thakur M, Shaeib F, Khan SN, Kohan-Ghadr HR, Jeelani R, Aldhaheri SR, Gonik B, Abu-Soud HM. Galactose and its Metabolites Deteriorate Metaphase II Mouse Oocyte Quality and Subsequent Embryo Development by Disrupting the Spindle Structure. Sci Rep. 2017 Mar 22;7(1):231. doi: 10.1038/s41598-017-00159-y. PMID: 28331195; PMCID: PMC5427935.
[9] Qin, X., Zhao, Y., Zhang, T. et al. TrkB agonist antibody ameliorates fertility deficits in aged and cyclophosphamide-induced premature ovarian failure model mice. Nat Commun 13, 914 (2022).
[10] Feng Y, Zheng H, Yin C, Liang D, Zhang S, Chen J, Mai F, Lan Z, Zhu M, Mai Z, Shen S, Jayawardana T, Wu R, Tang W, Zhang R, He X, Zheng S, Hu Q, Han Y, Yang Y, Gong S, Wang Z, El-Omar EM, Luo W, Chen X, Chen G, Li P, Chen X. β-resorcylic acid released by Limosilactobacillus reuteri protects against cisplatin-induced ovarian toxicity and infertility. Cell Rep Med. 2024 Aug 20;5(8):101678. doi: 10.1016/j.xcrm.2024.101678. Epub 2024 Aug 2. PMID: 39096912; PMCID: PMC11384965.
[11] Xiong Y, Si Y, Quan R, Huo X, Chen J, Xu J, Jiang Z, Xu F, Liu R, Fu Q. hUMSCs restore ovarian function in POI mice by regulating GSK3β-mediated mitochondrial dynamic imbalances in theca cells. Sci Rep. 2024 Aug 16;14(1):19008. doi: 10.1038/s41598-024-69381-9. PMID: 39152165; PMCID: PMC11329706.
赶紧收藏这篇攻略
下次做实验直接照做,少踩坑、多出成果!
如果觉得有用
记得分享给身边的科研伙伴呀
~
合作咨询
耶咦~!


统筹制作 | 深圳灵赋拓普生物科技有限公司
如 有 侵 权 请 告 知 删 除
转 载 请 注 明 以 上 信 息